

Tỷ suất sinh lời là tỷ lệ phần trăm phản ánh mức lãi hoặc lỗ của một khoản đầu tư trong một khoảng thời gian nhất định so với số vốn ban đầu bỏ ra.
Ý nghĩa: Nó cho biết mỗi đồng vốn bạn bỏ ra sẽ mang về bao nhiêu đồng lời.
Phân loại quan trọng:
Ví dụ: Ngân hàng trả lãi 6%/năm, nhưng lạm phát là 4%/năm. Vậy tỷ suất sinh lời thực tế của bạn chỉ xấp xỉ 2%.
Tùy vào khung thời gian và hình thức đầu tư, chúng ta có các công thức khác nhau. Dưới đây là 2 công thức quan trọng nhất mà mọi nhà đầu tư cần biết.
Dùng cho các khoản đầu tư ngắn hạn hoặc tính toán nhanh lãi/lỗ tại một thời điểm.

Trong đó:
V_cuoi: Giá trị hiện tại của khoản đầu tư.
V_dau: Giá trị vốn đầu tư ban đầu.
I: Thu nhập nhận được trong kỳ (cổ tức, tiền lãi cho thuê...).
Ví dụ: Bạn mua cổ phiếu giá 100 triệu. Cuối năm giá trị cổ phiếu tăng lên 110 triệu và bạn nhận được 2 triệu cổ tức.

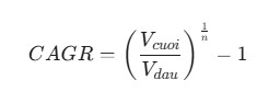
Dùng cho các khoản đầu tư dài hạn (trên 1 năm), giúp làm mượt các biến động qua từng năm để thấy bức tranh tăng trưởng trung bình.

Trong đó:
n: Số năm đầu tư.
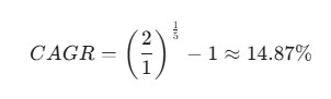
Ví dụ: Bạn đầu tư 1 tỷ vào đất nền. Sau 5 năm, mảnh đất bán được 2 tỷ.

Điều này nghĩa là trung bình mỗi năm tài sản của bạn tăng trưởng 14.87%, chứ không đơn thuần là lấy 100% chia cho 5 năm (20%).
Trong tài chính, có một nguyên tắc bất di bất dịch: High Risk, High Return (Rủi ro cao, Lợi nhuận cao).
Rủi ro thấp (3% - 6%): Tiền gửi ngân hàng, Trái phiếu chính phủ. Mục tiêu là bảo toàn vốn.
Rủi ro trung bình (7% - 12%): Trái phiếu doanh nghiệp, Quỹ mở trái phiếu, Bất động sản dòng tiền.
Rủi ro cao (15% - 30%+): Cổ phiếu, Bất động sản đầu cơ, Tiền mã hóa (Crypto).
Lưu ý: Tỷ suất sinh lời kỳ vọng cao không đảm bảo bạn chắc chắn nhận được mức lãi đó, mà nó đi kèm với xác suất mất vốn cao hơn.
Để đạt được tỷ suất sinh lời tốt nhất mà vẫn kiểm soát được rủi ro, hãy áp dụng chiến lược sau:
Hãy bắt đầu sớm và tái đầu tư lợi nhuận liên tục. Thời gian là biến số quan trọng nhất trong công thức lãi kép, không phải số vốn.
Đừng "bỏ trứng vào một giỏ". Khi thị trường cổ phiếu giảm, có thể vàng hoặc trái phiếu sẽ tăng. Việc phân bổ tài sản giúp danh mục của bạn không bị "bốc hơi" khi một ngành gặp khủng hoảng.
Gợi ý: 50% Cổ phiếu, 30% Trái phiếu, 10% Vàng, 10% Tiền mặt.
Chi phí là kẻ thù của lợi nhuận ròng.
Chọn các sàn giao dịch có phí thấp.
Hạn chế giao dịch (mua bán) liên tục (trading) nếu bạn không chuyên, vì phí giao dịch sẽ bào mòn lợi nhuận.
Sau một thời gian, tỷ trọng các tài sản sẽ thay đổi (ví dụ cổ phiếu tăng giá mạnh chiếm 70% danh mục). Hãy bán bớt phần lời (cổ phiếu) để mua thêm phần đang rẻ (ví dụ trái phiếu) để đưa về tỷ trọng an toàn ban đầu. Hành động này giúp bạn thực hiện kỷ luật "bán cao, mua thấp".
Thay vì cố gắng đoán đỉnh và đáy thị trường (Market Timing), hãy đầu tư một số tiền cố định vào mỗi tháng. Điều này giúp bạn mua được giá trung bình tốt và loại bỏ yếu tố cảm xúc.
Hiểu đúng về Tỷ suất sinh lời giúp bạn không bị mờ mắt bởi những lời chào mời "lãi suất khủng" đầy rủi ro. Hãy nhớ:
Luôn tính toán tỷ suất thực tế (sau lạm phát).
Sử dụng CAGR cho đầu tư dài hạn.
Chấp nhận rủi ro phù hợp với "khẩu vị" của bản thân.
Đầu tư là một hành trình dài hạn, sự kiên nhẫn và kỷ luật mới là yếu tố quyết định người chiến thắng cuối cùng.